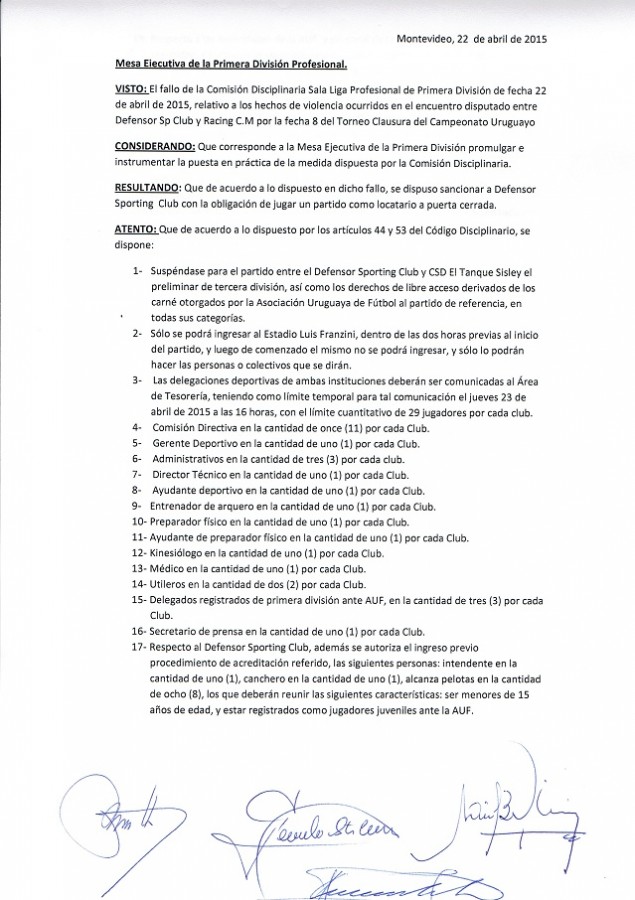
MESA AUTORIZÓ EL INGRESO DE 67 PERSONAS DE DEFENSOR SPORTING Y DE 57 POR EL TANQUE SISLEY
22 abril, 2015
La Mesa Ejecutiva notificó a Defensor Sporting y a El Tanque Sisley, como se va a instrumentar el fallo de la Comisión Disciplinaria, de jugar a puertas cerradas el encuentro del próximo domingo. En la comunicación, se determina quienes podrán ingresar al encuentro.
DOCUMENTO EXCLUSIVO. La notificación de la Mesa a Defensor y a El Tanque, de como se va a ejecutoriar el fallo de la Comisión Disciplinaria.

